#198. 美丽路径

美丽路径

题目描述

有一棵包含 nn 个节点的树,节点从 11nn 编号。每个节点要么是白色,要么是黑色。

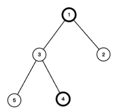
对于树上的一条简单路径(不经过重复节点的路径),我们认为它是美丽的当且仅当路径上相邻节点的颜色均不相同。例如下图,其中节点 11 和节点 44 是黑色,其余节点是白色,路径 21342-1-3-4 是美丽路径,而路径 21352-1-3-5 不是美丽路径(相邻节点 3355 颜色相同)。

图片描述

对于树上一条简单路径,我们认为它的长度是路径包含的节点数量。我们想知道最长美丽路径的长度是多少。

输入格式

第一行包含一个正整数 nn,表示节点数量。
第二行包含 nn 个整数 c1,c2,c3,cnc_1, c_2, c_3, \dots c_n,代表每个节点的颜色。如果 ci=0c_i = 0,节点 ii 为白色;如果 ci=1c_i = 1,节点 ii 为黑色。
之后 n1n - 1 行,每行两个正整数 ui,viu_i, v_i,表示树上一条边。

输出格式

输出一行一个整数表示答案。

样例输入1

5
1 0 0 1 0
1 2
3 5
4 3
1 3

样例输出1

4

样例输入2

5
0 0 0 0 0
1 2
2 3
3 4
4 5

样例输出2

1

说明/提示

子任务 占比 nn 特殊约定
11 30%30\% 1000\leq 1000 树的形态是一条链
22 30%30\% 1000\leq 1000
33 40%40\% 105\leq 10^5

对全部的测试数据,保证 1n1051 \leq n \leq 10^50ci10 \leq c_i \leq 1,保证给出的是一棵树。